Contents
IDO – Prelim Question Paper – 2019
- If 4 = 104, 5 = 105, then 12 = ?
(A) 1012
(B) 1011
(C) 9012
(D) 1021
- Find the missing term of the series:
12, 20, 30, ?, 56
(A) 40
(B) 42
(C) 43
(D) 46
- If 7 × 6 × 9 = 976, 5 × 9 × 4 = 459, then 6 × 3 × 8 = ?
(A) 638
(B) 368
(C) 144
(D) 863
- If PALE is coded as 2134, EARTH is coded as 41590, how is PEARL coded in that code?
(A) 29530
(B) 24153
(C) 25413
(D) 25430
- If PEN = 123, HELF = 4278, COW = 956, then PEOPLE = ?
(A) 125172
(B) 1217253
(C) 125127
(D) 125721
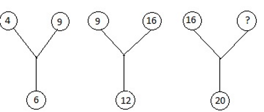
- Find the missing number:
A) 21
(B) 25
(C) 50
(D) 60
IDO – Prelim Question Paper – 2007
6. Write down the missing number.
4, 14, 30, ?, 80, 114
(A) 52
(B) 46
(C) 55
(D) 60
15. Character : Honesty as Law :
(A) Lawyer
(B) Police
(C) Courts
(D) Justice
22. If the code name for DURGAPUR is DUPAGRUR, then the code name for HALDIA is :
(A) AIDLAH
(B) HBMEIA
(C) HIDLAA
(D) DIAHAL
78. Assume that the following three statements are true.
- All youngs are human beings
- All workers are human beings
- Some workers do think
Given the following four statements
(1) All youngs are workers
(2) Some human beings think
(3) No young thinks
(4) Some human beings who think are not young
Those which are logical consequences of I, II and III are —
(A) 4
(B) 2
(C) 2,3
(D) 1,4

