Contents
Arithmetic – WBPSC Clerkship Previous Year Question Paper

Clerkship Question Paper – 2024 (S1)
- 10 men can complete a piece of work in 15 days and 15 women can complete the same work in 12 days. If all the 10 men and 15 women work together, in how many days will the work get completed?
(A) 6 days
(B) 6⅓ days
(C) 6⅔ days
(D) 7⅔ days
- The ratio between the speeds of two trains is 7 : 8. If the second train runs 400 kms in 4 hrs, then the speed of the first train is
(A) 70 km/hr
(B) 75 km/hr
(C) 84 km/hr
(D) 87.5 km/hr
- The prime numbers dividing 143 and leaving a remainder of 3 in each case are
(A) 2 and 11
(B) 11 and 13
(C) 3 and 7
(D) 5 and 7
- The greatest number which can divide 1356, 1868 and 2764 leaving the same remainder 12 in each case is
(A) 64
(B) 124
(C) 156
(D) 260
- At what time between 9 and 10 o’clock will the hands of a watch be together?
(A) 45 min. past 9
(B) 50 min. past 9
(C) 49¹/₁₁ min. past 9
(D) 48²/₁₁ min. past 9
- At what rate per cent of simple interest will a sum of money double itself in 12 years?
(A) 8¼%
(B) 8⅓%
(C) 8½%
(D) 9½%
- A motor car starts with speed of 70 km/hr with its speed increasing every two hours by 10 km/hr. In how many hours will it cover 345 kms?
(A) 2¼ hrs
(B) 4 hrs 5 min
(C) 4½ hrs
(D) None of the above
- In a class, ⅗th of the students are girls and rest are boys. If ²/₉th of the girls and ¼th of the boys are absent, what part of the total number of students is present?
(A) ¹⁷/₂₅
(B) ¹⁸/₄₉
(C) ²³/₃₀
(D) ²³/₃₆
- The HCF of two numbers is 8. Which one of the following can never be their LCM?
(A) 24
(B) 48
(C) 56
(D) 60
- A shopkeeper has a certain number of eggs of which 5% are found to be broken. He sells 93% of the remainder and still has 266 eggs left. How many eggs did he originally have?
(A) 3800
(B) 4000
(C) 4200
(D) None of the above
- A positive number, which when added to 1000, gives a sum which is greater than when it is multiplied by 1000. This positive number is
(A) 1
(B) 3
(C) 5
(D) 7
- A sum of ₹750 is distributed among A, B, C and D in such a manner that A gets as much as B and C together, B gets ₹125 more than C and D gets as much as C. What is A’s share?
(A) ₹100
(B) ₹225
(C) ₹275
(D) ₹325
- The speed of a boat in still water is 10 km/hr. If it can travel 26 km downstream and 14 km upstream in the same time, the speed of the stream is
(A) 2 km/hr
(B) 2.5 km/hr
(C) 3 km/hr
(D) 4 km/hr
- A group of 1200 persons consisting of captains and soldiers is travelling in a train. If for every 15 soldiers there is one captain, then the number of captains in the group is
(A) 70
(B) 75
(C) 80
(D) 82
- A man distributes ₹1,65,000 among his daughter, wife and son in such a manner that ½ of the daughter’s share, ¼th of the wife’s share and ⅕th of the son’s share are equal. Find the daughter’s share.
(A) ₹15,000
(B) ₹30,000
(C) ₹45,000
(D) ₹60,000
- In a mixture of a milk and water, the proportion of water by weight was 75%. If in the 60 gm mixture 15 gm of water was added, what would be the percentage of water?
(A) 75%
(B) 88%
(C) 90%
(D) 80%
- A man in a train notices that he can count 21 telephone posts in one minute. If they are known to be 50 metres apart, then at what speed is the train travelling?
(A) 55 km/hr
(B) 57 km/hr
(C) 60 km/hr
(D) 63 km/hr
- ⁵/₁₂ of which sum is equal to 3¾ of ₹100?
(A) ₹750
(B) ₹800
(C) ₹900
(D) ₹1000
- An article was sold for ₹144. If the percentage of profit was numerically equal to the cost price, then find the cost of the article.
(A) ₹72
(B) ₹80
(C) ₹90
(D) ₹100
- If in a calendar-year, January starts with Monday, how many Wednesday do you have in January?
(A) 6
(B) 4
(C) 3
(D) 5
- A and B invest in a business in the ratio 3 : 2. If 5% of the total profit goes to charity and A’s share is ₹855, the total profit is
(A) ₹1,425
(B) ₹1,500
(C) ₹1,573.50
(D) ₹1,575
- The average of ten numbers is 7. If each number is multiplied by 12, then the average of the new set of numbers is
(A) 7
(B) 19
(C) 82
(D) 84
- If a bucket is 60% full, then it contains 4 litres more water than when it is 46⅔% full. What is the capacity of the bucket?
(A) 30 litres
(B) 15 litres
(C) 16⅔ litres
(D) 20 litres
- The average of the first nine prime numbers is
(A) 9
(B) 11
(C) 11⅑
(D) 11²/₉
- A fan is listed at ₹1,500 and a discount of 20% is offered on the list price. What additional discount must be offered to the customer to bring the net price to ₹1,104?
(A) 8%
(B) 10%
(C) 12%
(D) 15%
- 2 men and 7 boys can do a piece of work in 14 days; 3 men and 8 boys can do the same in 11 days. Then 8 men and 6 boys can do three times the amount of this work in
(A) 18 days
(B) 21 days
(C) 24 days
(D) 30 days
- The least perfect square number divisible by 3, 4, 5, 6 and 8 is
(A) 900
(B) 1200
(C) 2500
(D) 3600
- The value of 999⁹⁹⁵/₉₉₉ x 999 is
(A) 990809
(B) 998996
(C) 998999
(D) 999824
- ¼ of a tank holds 135 litres of water. What part of the tank is full if it contains 180 litres of water?
(A) ⅙
(B) ⅓
(C) ⅔
(D) ⅖
- A number reduced by 35% becomes 325. What percent should it be increased so that it becomes 650?
(A) 25%
(B) 30%
(C) 35%
(D) 45%
Clerkship Question Paper – 2024 (S2)
- Two pipes can fill a tank in 20 and 24 minutes respectively and a waste pipe can empty 3 gallons per minute. All the three pipes working together can fill the tank in 15 minutes. The capacity of the tank is
(A) 60 gallons
(B) 100 gallons
(C) 120 gallons
(D) 180 gallons
- A person has to cover a distance of 6 km in 45 minutes. If he covers one-half of the distance in two-thirds of the total time; to cover the remaining distance in the remaining time, his speed must be
(A) 6 km/hr
(B) 8 km/hr
(C) 12 km/hr
(D) 15 km/hr
- A can do ½ part of a work in 5 days and B can do 2/5 part of that work in 6 days. A and B together complete the work in
(A) 3 days
(B) 6 days
(C) 5 days
(D) 4 days
- Write the missing number:
4, 9, 17, 35, ?, 139
(A) 63
(B) 65
(C) 67
(D) 69
- A train 240 m long passed a pole in 24 seconds. How long will it take to pass a platform 650 m long?
(A) 65 sec.
(B) 89 sec.
(C) 100 sec.
(D) 150 sec.
- The ratio of a man’s age and his son’s age is 7 : 3 and the product of their ages is 756. The ratio of their ages after 6 years will be
(A) 5 : 2
(B) 2 : 1
(C) 11 : 7
(D) 13 : 9
- The speed of a boat in still water is 15 km/hr and the rate of the current is 3 km/hr. The distance travelled downstream in 12 minutes is
(A) 1.2 km
(B) 1.8 km
(C) 2.4 km
(D) 3.6 km
- If the simple interest on ₹500 for 4 years is ₹100, then what is the interest per annum?
(A) 10%
(B) 5%
(C) 8%
(D) 6%
- The least number of five digits which is exactly divisible by 12, 15 and 18 is
(A) 10010
(B) 10015
(C) 10020
(D) 10080
- A is thrice as good as B and therefore is able to finish a work in 80 days less than B. Find the number of days required to complete the work if they are working together.
(A) 20 days
(B) 32 days
(C) 30 days
(D) 40 days
- A started business with ₹30,000 and after 4 months, B joins with A as his partner. After a year, the profit is divided in the ratio 2 : 3. What is B’s contribution in the capital?
(A) ₹65,700
(B) ₹65,000
(C) ₹67,700
(D) ₹67,500
- A vendor loses the selling price of 4 oranges on selling 36 oranges. His loss percent is
(A) 10%
(B) 11%
(C) 12½%
(D) None of the above
- A train starts from Howrah at 8 a.m. and reaches Burdwan at 12 noon. Another train leaves Burdwan at 9 a.m. and reaches Howrah at 12 noon. When do they meet?
(A) 17⅐ mins past 9 a.m.
(B) 17⅐ mins past 11 a.m.
(C) 17⅐ mins past 10 a.m.
(D) 10 a.m.
- A boy’s height is 133 cm at the end of a year. His height increased by 6.4% during the year. Find his height at the beginning of the year.
(A) 125 cm
(B) 120 cm
(C) 110 cm
(D) 118 cm
- Last week, 8,000 copies of a certain magazine were sold. This week, 7% more copies were sold. How many copies of the magazine were sold this week?
(A) 8,650
(B) 8,560
(C) 7,600
(D) 8,500
- By selling a bicycle for ₹2,050, a shopkeeper gains 25%. If the profit is reduced to 10% then the selling price will be
(A) ₹1,600
(B) ₹1,804
(C) ₹1,805
(D) ₹1,800
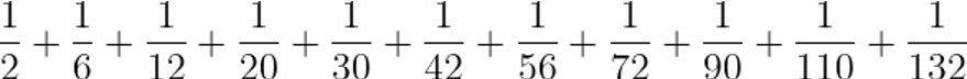
- Find the sum:

(A) ⅞
(B) ¹¹/₁₂
(C) ¹⁵/₁₆
(D) ¹⁷/₁₈
- A batsman makes a score of 84 runs in the 21st innings and thus increases his average by 2 runs. His average runs after 21st innings is
(A) 24
(B) 34
(C) 44
(D) 54
- A sum of money is divided among 160 males and some females in the ratio 16 : 21. Individually each male gets ₹4 and a female ₹3. The number of females is
(A) 198
(B) 270
(C) 280
(D) 284
- 60% of a number is equal to the ⅗th of the other number. What is the ratio between the first number and the second number?
(A) 1 : 1
(B) 2 : 3
(C) 3 : 5
(D) 2 : 5
- The profit earned after selling an article for ₹1,864 is the same as loss incurred after selling the article for ₹1,490. What is the cost price of the article?
(A) ₹1,677
(B) ₹1,667
(C) ₹1,623
(D) ₹1,689
- If two dice are thrown, how many different possibilities are there that the addition of their outcomes is 8?
(A) 5
(B) 6
(C) 10
(D) 4
- The HCF of two numbers is 13. If they are in the ratio of 5 : 7, then find the numbers.
(A) 65, 91
(B) 25, 35
(C) 35, 49
(D) 15, 21
- The speed of train is 80 km/hr. If it takes 4.5 seconds to cross a tree, how much time it takes to cross a 200 meter length station?
(A) 13.5 sec
(B) 13 sec
(C) 12 sec
(D) 12.5 sec
- The average of the largest and the smallest 3 digit number formed by 0, 2 and 4 would be
(A) 213
(B) 303
(C) 312
(D) 222
- Which number gives the same result when added to 1½ and when multiplied by 1½?
(A) 1
(B) 3
(C) 5
(D) 7
- In a class of 40 students, ⅕ of the total number of students like to eat rice only, ⅖ of the total number of students like to eat chapati only and remaining students like to eat both. What fraction of total students like to eat both?
(A) ⅕
(B) ⅗
(C) ⅖
(D) None of the above
- If cube root of 175616 is 56, then the value of
![]()
is equal to
(A) 0.168
(B) 6.216
(C) 62.16
(D) 6.116
- Ruma reads at an average rate of 30 pages per hour while Neera reads at an average rate of 40 pages per hour. If Ruma starts reading a novel at 2:30 and Neera begins reading an identical copy of the same book at 3:20, at what time will they be reading the same page?
(A) 5:00
(B) 5:50
(C) 6:40
(D) 7:00
- Arun could save 10% of his income. But 1 year later, when his income increased by 20%, he could save the same amount only as before. By how much percentage has his expenditure increased?
(A) 22²/₉%
(B) 23⅓%
(C) 24²/₉%
(D) 25²/₉%
adinserter block=”11″]
Clerkship Question Paper – 2024 (S3)
31. Out of two numbers if the first one is increased by 20% and the second one is decreased by 20%, they become same. The ratio of the first and second number is
(A) 3 : 2
(B) 2 : 3
(C) 1 : 1
(D) 3 : 5
33. A 40 litres mixture of milk and water contains milk and water in the ratio of 3 : 2. 10 litres of the mixture is removed and replaced with pure milk and the operation is repeated once more. At the end of the two removal and replacement, what will be the ratio of milk and water in the resulting mixture?
(A) 31 : 9
(B) 4 : 1
(C) 7 : 3
(D) 24 : 13
35. A train crosses a man, standing over a 150 m length station in 10 seconds and crosses the station in 22 seconds, then the speed of the train is
(A) 45 km/hr
(B) 50 km/hr
(C) 60 km/hr
(D) 55 km/hr
38. A group of students in a class of a school collects ₹9,216. The amount contributed by each student is equivalent to the number of students in the class. Find the number of students in the class.
(A) 66
(B) 48
(C) 96
(D) 36
41. Find the smallest number which is divisible by 7 and when divided by 8, 12, 16 leaves 3 as remainder in each case.
(A) 140
(B) 147
(C) 154
(D) 133
42. A, B and C together earn ₹300 per day, while A and C together earn ₹188 and B and C together earn ₹152. The daily earning of C is
(A) ₹40
(B) ₹68
(C) ₹112
(D) ₹150
43. The value of
is
(A) 99000
(B) 9900
(C) 98000
(D) 95000
45. What will be the ratio of simple interest earned by certain amount at the same rate of interest for 6 years and that for 9 years?
(A) 1 : 3
(B) 1 : 4
(C) 2 : 3
(D) 3 : 4
48. The cost of 12 belts and 30 wallets is ₹8,940. What is the cost of 4 belts and 10 wallets?
(A) ₹2,780
(B) ₹2,870
(C) ₹2,890
(D) ₹2,980
50. If A’s income is 25% more than B’s, then by what percent is B’s income less than A?
(A) 20%
(B) 25%
(C) 30%
(D) 15%
51. Select the one which is different from the others in the following numbers:
324, 441, 289, 326
(A) 324
(B) 441
(C) 289
(D) 326
55. The ratio of the prices of two products X and Z is 1 : 3. If the price of another product Y is ₹40, which is the average of the prices of X and Z, then the difference between the prices of Z and X is
(A) ₹20
(B) ₹60
(C) ₹30
(D) ₹40
56. In a class, the ratio of the numbers of boys and that of the girls is 11 : 9. If 30% of the boys and 20% of the girls passed the annual examination, find the percentage of passed students of the class.
(A) 28.5%
(B) 25.5%
(C) 24.5%
(D) 23.5%
60. X can finish a job in double speed of Y. Y alone can finish the job in 24 days. If they work together, in how many days they can finish the job?
(A) 8 days
(B) 16 days
(C) 10 days
(D) 12 days
61. Amal and Bimal started a business. Amal invests ₹500 for 9 months and Bimal invests some money for 6 months. If total profits is ₹69 and Bimal gets ₹46 then the amount of investment of Bimal is
(A) ₹1500
(B) ₹300
(C) ₹450
(D) ₹600
62. The average weight of the first 11 persons among the 12 persons is 95 kg. The weight of the 12th person is 33 kg more than the average weight of all the 12 persons. The weight of the 12th person is
(A) 128 kg
(B) 97.45 kg
(C) 128.75 kg
(D) 131 kg
63. A tanker can be filled by two pipes A and B in 60 min. and 40 min. respectively. How many minutes will it take to fill the tanker from empty state if A and B fill it together?
(A) 24 min.
(B) 26 min.
(C) 22 min.
(D) 28 min.
64. A reduction of 12½% in the price of oranges enables a purchaser to get 2 more for ₹5. The reduced price of a dozen orange is
(A) ₹4.50
(B) ₹5
(C) ₹3.50
(D) ₹5.50
68. The speed of a boat in still water is 8 km/hr and the speed of the stream is 4 km/hr. Find the time taken by the boat to go 48 km downstream.
(A) 12 hours
(B) 4 hours
(C) 8 hours
(D) 6 hours
70. The product of two numbers is 4,332 and their quotient is ¾. Find the sum of the numbers.
(A) 136
(B) 133
(C) 143
(D) 149
71. The boys of a school can be arranged in 15, 18 or 24 equal rows and also into a solid square. Find the least number of boys in the school.
(A) 4900
(B) 2500
(C) 3600
(D) 6400
72. Two trains travel in opposite directions at 36 km/hr and 45 km/hr and a man sitting in slower train passes the faster train in 8 seconds. The length of the faster train is
(A) 80 m
(B) 100 m
(C) 120 m
(D) 180 m
73. The LCM and HCF of two numbers are 2175 and 145 respectively. If one of the numbers is 725 then find the other number.
(A) 425
(B) 315
(C) 435
(D) 450
77. In a class of 45 students, all students participate in one or both of the two games i.e., Chess and Badminton. 11 students participate in both the games whereas 17 students participate only in Chess. How many total students participate in Badminton?
(A) 17 students
(B) 11 students
(C) 28 students
(D) 6 students
83. A 250 meter long goods train is running in 33 km/hr. In a parallel track, a 200 meter mail train is running in a speed of 60 km/hr in the same direction from behind. How much time the mail train takes to cross the goods train after it reaches to the goods train?
(A) 2 minutes
(B) 1 minute
(C) 1.5 minutes
(D) 3 minutes
88. A bike 2m long crosses a 22m long bridge in 0.8 sec. At what speed in km/hr was the bike travelling?
(A) 30 km/hr
(B) 108 km/hr
(C) 60 km/hr
(D) 25 km/hr
93. Four bells ring at an interval of time 45 minutes, 1 hour, 1 hour 15 minutes and 1 hour 30 minutes respectively. At 12 noon 4 bells ring together. Calculate the time when will the bells ring together again.
(A) 3 am
(B) 3 pm
(C) 4 am
(D) 4 pm
97. What percentage of numbers from 1 to 70 have 1 or 9 in the unit’s digit?
(A) 5%
(B) 25%
(C) 20%
(D) 30%
98. 10 workers can complete a job in 20 days. After 10 days, 50% workers leave the job. How many more days are needed to finish the job?
(A) 20
(B) 5
(C) 15
(D) 30
99. A got twice as many marks in science as in English. His total marks in English, Science and Mathematics is 180. If the ratio of his marks in English and Mathematics is 2 : 3, what is his marks in Science?
(A) 40
(B) 60
(C) 70
(D) 80
Clerkship Question Paper – 2024 (S4)
31. Complete the series:
7, 11, 19, 35, 67, ?
(A) 99
(B) 134
(C) 98
(D) 131
34. Find the smallest number by which 5808 should be multiplied so that the product becomes a perfect square.
(A) 2
(B) 3
(C) 7
(D) 11
35. X, Y and Z are business partners. In the business, twice the capital of X is equal to thrice the capital of Y and the capital of Y is four times the capital of Z. If the profit earned is ₹2,97,000, what is the share of Y?
(A) ₹1,18,000
(B) ₹1,08,000
(C) ₹1,28,000
(D) ₹1,38,000
36. Simon and Anik save 25% and 40% of their respective incomes. If their expenditures are equal, the find the ratio of the incomes of Simon and Anik.
(A) 4 : 5
(B) 3 : 4
(C) 5 : 6
(D) 6 : 5
39. If day after tomorrow is Saturday, what day was 3 days before yesterday?
(A) Monday
(B) Sunday
(C) Tuesday
(D) Wednesday
41. If 40% of P = 0.75 of Q = ¼ of R, then find the value of P : Q : R.
(A) 15 : 7 : 25
(B) 3 : 26 : 28
(C) 16 : 8 : 5
(D) 15 : 8 : 24
43. By reducing, the selling price of a book-shelf by ₹2,000, a gain of 10% turns into a loss of 10%. Find the original selling price of the book-shelf.
(A) ₹10,000
(B) ₹11,000
(C) ₹12,000
(D) ₹9,000
48. There are 5 students standing in a row. Every student has two more books than the student infront of him/her. Then the total number of books is
(A) always even.
(B) always odd.
(C) might be even or might be odd.
(D) neither even nor odd.
49. A sum of money amounts to ₹9,800 after 5 years and ₹12,005 after 8 years at the same rate of simple interest. The rate of interest per annum is
(A) 5%
(B) 12%
(C) 8%
(D) 15%
50. Three positive integers x, y and z are such that x+y+z is even. Then which one of the following is not correct?
(A) All of them may be odd.
(B) All of them may be even.
(C) x and y may be odd and z is even.
(D) y and z may be odd and x is even.
55. In a pond, the number of lotus becomes double in the next day. If it takes 15 days to cover half of the pond, then in how many days the entire pond will be covered by lotus?
(A) 16 days
(B) 30 days
(C) 29 days
(D) None of the above
56. Two stations X and Y are 465 km distant. A train starts from X towards Y at 10 am with a speed of 65 km/hr. Another train leaves from Y towards X at 11 am at a speed of 35 km/hr. Find the time when both the trains meet.
(A) 2 pm
(B) 5 pm
(C) 4 pm
(D) 3 pm
57. A student went to the school by cycle in 10 km/hr speed and returned back in 15 km/hr speed. What is the average speed of the entire ride?
(A) 12.5 km/hr
(B) 14 km/hr
(C) 12 km/hr
(D) 13.5 km/hr
58.
(A) 11
(B) 8
(C) 9
(D) 7
60. Present population of a town is 2,00,000. The population will increase by 10% in the 1st year and 15% in the 2nd year. The population of the town after two years is
(A) 2,53,000
(B) 3,50,000
(C) 3,00,000
(D) 2,35,000
62. Choose the greatest number among the following:
(A)
(B)
(C)
(D)
67. Two taps A and B can fill a tank in 5 hours and 20 hours respectively. If both the taps are open then due to a leakage, it took 30 minutes more to fill the tank. If the tank is full, how long will it take for the leakage alone to empty the tank?
(A) 4½ hours
(B) 9 hours
(C) 18 hours
(D) 36 hours
71. If the L.C.M. and H.C.F. of two 2-digit numbers x and y are 36 and 6 respectively and x ≤ y, then x : y is
(A) 2 : 3
(B) 1 : 2
(C) 3 : 5
(D) 4 : 5
74. What is the converted speed of 2²/₉ m/s in km/hr.?
(A) 6 km/hr
(B) 12 km/hr
(C) 8 km/hr
(D) 10 km/hr
76. What is the least positive integer to be added with 8270 so that it will be divisible by 16?
(A) 2
(B) 4
(C) 8
(D) 6
77. A merchant buys two kinds of coffee, one at the rate of ₹8,000 per quintal and another at the rate of ₹10,000 per quintal. He mixed them in a proportion of 10 : 6 respectively. If he wants to have a profit of 20% on the whole transaction, then at what price per quintal he must sell the mixture of the coffee?
(A) ₹10,500
(B) ₹3,500
(C) ₹9,500
(D) ₹10,200
78. The market price of a bicycle is ₹4,000. While selling the bicycle if two successive discounts of 20% and 10% are allowed, then the customer will save for it
(A) ₹800
(B) ₹320
(C) ₹1,120
(D) ₹480
80. The population of a city is 6000 and ³/₁₂th of the population is male and rest of them are female. If the 30% of the males are married, then the percentage of married females in the city is
(A) 10%
(B) 15%
(C) 25%
(D) 35%
81. X is twice as good as Y and together they complete a piece of work in 20 days. In how many days will X alone finish the work?
(A) 22 days
(B) 30 days
(C) 35 days
(D) 40 days
82. A man decided to cover a distance of 6 km in 84 minutes. He decided to cover ⅔rd of the distance at 4 km/hr and the remaining at some different speed. Find the speed after the ⅔rd distance has been covered.
(A) 4.5 km/hr
(B) 5 km/hr
(C) 5.5 km/hr
(D) 6 km/hr
87. In one hour, a boat goes 11 km/hr along the stream and 5 km/hr against the stream, the speed of the boat in still water (in km/hr) is
(A) 3 km/hr
(B) 5 km/hr
(C) 8 km/hr
(D) 9 km/hr
94. The ratio of the present ages of father, mother and their son is 6 : 5 : 1. When the son will attain the present age of his father, at that time the sum of their ages will be 135 years. Find the present age of the mother.
(A) 30 years
(B) 36 years
(C) 25 years
(D) 35 years
95. The average of 10 numbers is 20. If each number is increased by 5, then what is the new average?
(A) 24
(B) 20
(C) 30
(D) 25
97. There are 62 questions in a test. Each correct answer gives 2 marks and for each wrong answer 1 mark is deducted. Ramen scored 34 marks and he attempted all questions. Find the number of questions Ramen answered correctly.
(A) 34
(B) 28
(C) 33
(D) 32
100. 20 men can complete a job in 10 days. After 5 days 20 more than men join the group. Then, how many total days are needed to complete the entire job?
(A) 7.5 days
(B) 8 days
(C) 8.5 days
(D) 6 days
Clerkship Question Paper – 2019 (S1)
- If A : B = 2 : 3, B : C = 4 : 5, C : D = 3 : 7, then the ratio of A : B : C : D is
(A) 8 : 12 : 15 : 35
(B) 8 : 15 : 12 : 35
(C) 12 : 8 : 15 : 35
(D) 12 : 8 : 35 : 15
- A boat can be rowed 9 km. upstream or 18 km. downstream in a period of 3 hrs. What is the speed of the boat in still water in km/hr?
(A) 4 km/hr
(B) 4.5 km/hr
(C) 3 km/hr
(D) 3.5 km/hr
- Two pipes can separately fill a tank in 9 hours and 2 hours respectively. If both pipes are in operation, the tank will be filled in
(A) 5 (1/7) hours
(B) 5 (2/7) hours
(C) 5 (3/7) hours
(D) 5 hours
- Sum of three consecutive even integers is 54. Find the least among them.
(A) 18
(B) 15
(C) 20
(D) 16
- Two numbers are in the ratio 5:7 and their LCM is 315, their product is
(A) 2358
(B) 2538
(C) 2835
(D) 2853
- 150 gm of sugar solution has 20% sugar in it. How much sugar should be added to make it 25% in the solution?
(A) 10 gms
(B) 35 gms
(C) 40 gms
(D) 45 gms
- A person travels from P to Q at a speed of 40 kmph and returns by increasing his speed by 50%. What is his average speed for both the trips?
(A) 36 kmph
(B) 45 kmph
(C) 48 kmph
(D) 50 kmph
- A can do 1/3 of a work in 5 days and B can do 2/5 of the work in 10 days. In how many days both A and B can do the work?
(A) 7(¾) days
(B) 9(3/8) days
(C) 8(4/5) days
(D) 10 days
- Find the smallest number which when divided by 57, 76 and 190, leaves the remainder 1 in each case.
(A) 1140
(B) 1141
(C) 1150
(D) 1151
- 2/3rd of a number is 26. Find out 25% of that number.
(A) 9.25
(B) 9.35
(C) 9.55
(D) 9.75
- The simple interest on Rs. 500 for 6 years at 5% per annum is
(A) Rs. 250
(B) Rs. 150
(C) Rs. 140
(D) Rs. 120
52. ![]()
Then the * mark place is
(A) 2/3
(B) 3/2
(C) 16/9
(D) 2(1/7)
- A alone can do a piece of work in 12 days. B, who is 60% more efficient than A, will finish the work in
(A) 7(½) days
(B) 6(¼) days
(C) 8 days
(D) 6 days
- Successive discount of 10% and 30% are equivalent to a single discount of ___.
(A) 33%
(B) 37%
(C) 40%
(D) 47%
- Find the amount on Rs.10,000 for 3 years at 10% compound interest, interest being payable annually.
(A) Rs.12,340
(B) Rs.13,210
(C) Rs.13,320
(D) Rs.13,310
- The simplified value of

(A) 1
(B) 2
(C) 3
(D) 4
- If 50% of P = 25% of Q, then P=x% of Q. Find x = ?
(A) 0.5
(B) 2
(C) 50
(D) 0.005
- The ratio of two numbers is 10:7 and their difference is 105. The sum of the numbers is
(A) 595
(B) 805
(C) 1190
(D) 1610
- A fruit seller bought 11 apples for Rs.10 and sold 10 apples for Rs.11. How much profit or loss did he make?
(A) 20% loss
(B) 21% loss
(C) 20% profit
(D) 21% profit
- The ratio of the ages of A, B and C is 5:8:9. If the sum of the ages of A and C be 56 years, then the age of B is
(A) 20 years
(B) 32 years
(C) 36 years
(D) 40 years
- A certain number when divided by 175 leaves a remainder 132. When the same number is divided by 25, the remainder is
(A) 6
(B) 7
(C) 8
(D) 9
62.
0.2+0.2-0.2÷0.2×(0.2×0.2)
On simplification is
(A) 0.04
(B) 0.2
(C) 1
(D) 0.36
- A sum of money becomes 27 times of itself in 3 years at compound interest. The rate of interest per annum is
(A) 100%
(B) 150%
(C) 75%
(D) 200%
64. ![]()
(A) 0.03
(B) 0.42
(C) 0.003
(D) 0.3
- If 579 * 2 is divisible by 11, the * mark digit is
(A) 3
(B) 7
(C) 9
(D) 11
- In a 200 m. race, A runs at 5 km/hr. A gives B a start of 8 m and still beats him by 8 seconds. Find the speed of B in metre per second.
(A) 48/19 m/sec
(B) 24/19 m/sec
(C) 32/19 m/sec
(D) 60/19 m/sec
- A, B, C can do a piece of work in 6, 12 and 24 days respectively. They all together will complete the work in
(A) 7(¾) days
(B) 9(3/8) days
(C) 8(¾) days
(D) 3(3/7) days
- A certain principal amounts to Rs. 560 in 3 years and Rs. 600 in 5 years. Determine the rate of interest per annum.
(A) 2%
(B) 4%
(C) 6%
(D) 8%
- The value of
√0.01 + √0.81 + √1.21 + √0.0009 is
(A) 2.03
(B) 2.1
(C) 2.11
(D) 2.13
- If the ratio of cost price and selling price of an article be 10 : 11, what is the profit per cent?
(A) 5%
(B) 10%
(C) 15%
(D) 20%
Video Explanation
Clerkship Question Paper – 2019 (S2)
- If

Then the * mark place is
(A) 15(½)
(B) 15(¼)
(C) 15(1/6)
(D) 15(1/7)
- A person travels from A to B at a speed of 40 kmph and returns by decreasing his speed by 50%. What is his average speed for both the trips?
(A) 16(2/3) kmph
(B) 26 kmph
(C) 36(2/3) kmph
(D) 26(2/3) kmph
- The average of 7 consecutive numbers is 20. The largest of these numbers is
(A) 24
(B) 23
(C) 22
(D) 25
- The simplified value of:

(A) 11
(B) 14
(C) 13
(D) 15
- In a 100 m race, A runs at 8 km per hour. If A gives B a start of 4m and still beats him by 15 seconds, find the speed of B in m/sec.
(A) 3(7/15) m/sec
(B) 3(1/15) m/sec
(C) 3(2/15) m/sec
(D) 8/5 m/sec
- Successive discount of 20% and 25% are equivalent to a single discount of
(A) 33%
(B) 40%
(C) 35%
(D) 45%
- Find smallest number which when divided by 20, 42 and 63, leaves the remainder 1 in each case.
(A) 1241
(B) 1261
(C) 1259
(D) 1239
- Find the amount on Rs. 625 for 2 years at 4% compound interest, interest being payable annually.
(A) Rs. 756
(B) Rs. 676
(C) Rs. 767
(D) Rs. 675
- A tap can empty a tank in 30 minutes while second tap empty it in 20 minutes. If both the taps are kept open, how much time is required to empty the cistern?
(A) 12 minutes
(B) 25 minutes
(C) 50 minutes
(D) 55 minutes
- A sum of money becomes 4 times of itself in 2 years at compound interest. The rate of interest per annum is
(A) 150%
(B) 100%
(C) 200%
(D) 75%
- If 60% of P = 30% of Q, then P = x% of Q. Find x = ?
(A) 0.5
(B) 2
(C) 50
(D) 0.005
- A boat running downstream covers a distance of 24 kms in 4 hours, while for covering the distance upstream it takes 6 hours. What is the speed of the boat in still water?
(A) 5.5 km/hr
(B) 6 km/hr
(C) 3.5 km/hr
(D) 5 km/hr
- 2/3rd of a number is 36. Find out 25% of that number.
(A) 13.25
(B) 13.5
(C) 13.51
(D) 13.65
- The value of

(A) 0.4
(B) 0.3
(C) 0.7
(D) 0.8
- A 60 metre long train is running at a speed of 40 km per hour. It will cross a railway platform 90 metre long in
(A) 14 seconds
(B) 13.5 seconds
(C) 14.5 seconds
(D) 13 seconds
- The simple interest on Rs. 400 for 5 years at 6% per annum is
(A) Rs. 140
(B) Rs. 120
(C) Rs. 110
(D) Rs. 124
- A fruit seller bought 15 apples for Rs. 12 and sold 12 apples for Rs. 15. How much profit or loss did he make?
(A) 56.25% profit
(B) 56.35% profit
(C) 56.25% loss
(D) 56.35% loss
- A alone can do 1/2 of a work in 5 days and B alone can do 1/3 of the same work in 4 days. How many working together will they finish the work?
(A) 2(2/9) days
(B) 3 days
(C) 9 days
(D) 5(5/11) days
- A number when divided by 119 leaves remainder 19. The same number when divided by 17, will leave remainder.
(A) 2
(B) 7
(C) 10
(D) 5
- The ratio of the ages of three persons is 7:5:4. The sum of the ages of the first and third exceeds the double of the age of the second person by 5 years. Determine the age of the second person.
(A) 20 years
(B) 25 years
(C) 27 years
(D) 30 years
- 300 gm of sugar solution has 40% sugar in it. How much sugar should be added to make it 50% in the solution?
(A) 10 gms
(B) 40 gms
(C) 60 gms
(D) 8 gms
- A alone can do a piece of work in 21 days. B, who is 40% more efficient than A, will finish the work in
(A) 10 days
(B) 12 days
(C) 15 days
(D) 18 days
- Two numbers are in the ratio 3:5 and their HCF is 12, their product is
(A) 1620
(B) 1800
(C) 1980
(D) 2160
- If A : B = 4 : 3, B : C = 3 : 5, C : D = 10 : 9, then the ratio of A : B : C : D is
(A) 8 : 6 : 9 : 10
(B) 8 : 9 : 6 : 10
(C) 8 : 6 : 10 : 9
(D) 6 : 8 : 10 : 9
- A certain principal amounts to Rs. 500 in 3 years and Rs. 540 in 5 years. Find the rate of interest per annum.
(A) (52/11)%
(B) (50/11)%
(C) (56/11)%
(D) (54/11)%
- If 45337*2 be divisible by 11, the * mark digit is
(A) 8
(B) 6
(C) 4
(D) 2
- What rate per cent is 1 minute 48 seconds to an hour?
(A) 1%
(B) 2%
(C) 3%
(D) 4%
- The price of coal is increased by 20%. By what per cent a family should decrease its consumption so that expenditure remains same?
(A) 40%
(B) 23(1/3)%
(C) 20%
(D) 16(2/3)%
- 15% loss on selling price is what per cent loss on the cost price?
(A) 13(1/23)%
(B) 23(1/3)%
(C) 13(2/23)%
(D) 23(2/23)%
- On simplification,
3034 – (1002 ÷ 20.04) Is equal to
(A) 2543
(B) 2984
(C) 2993
(D) 3029
Video Explanation
Clerkship Question Paper – 2009 (S1)
- How much can be subtracted from 72.5 to get 18.76?
(A) 90.5
(B) 90.76
(C) 53.01
(D) 53.74
- The marked price of a book is Rs.165 and it is sold at Rs.132. What is the discount in percent?
(A) 10%
(B) 18%
(C) 20%
(D) 22%
- In a camp, there is food for 30 students for 18 days. 6 more came and joined the camp. For how many days will the food last?
(A) 14 days
(B) 15 days
(C) 16 days
(D) 17 days
- Working together A and B can complete a work in 12 days. B alone can complete the work in 30 days. How many days will A take to complete the work alone?
(A) 15 days
(B) 18 days
(C) 20 days
(D) 25 days
- The ratio of daily wages of two workers is 4 : 3 and one gets Rs.9 more than the other. Determine the daily wage of the first worker.
(A) Rs. 24
(B) Rs. 28
(C) Rs. 32
(D) Rs. 36
- The sum of the present ages of a father and his son is 40 years. 4 years ago, the ratio of their ages was 2 : 1. The present age of the father is:
(A) 48 years
(B) 50 years
(C) 52 years
(D) 54 years
- 1 minute 49 second is how much percent of 1 hour?
(A) 2%
(B) 3%
(C) 4%
(D) 5%
- Mean proportion of ¼ and 1/36 is:
(A) 1/6
(B) 1/8
(C) 1/10
(D) 1/12
- Last year Rajni’s height was 144 cm. This year his height is 148 cm. What is his change of height in percent?
(A) 3%
(B) 3(½)%
(C) 3(1/5)%
(D) 3(1/8)%
- 1083 should be divided by which smallest number so that the number becomes a whole number.
(A) 2
(B) 3
(C) 4
(D) 5
- Mohanlal purchased a radio for Rs.675 and sold it at a profit of 12%. What is the selling price of the radio?
(A) Rs.750
(B) Rs.754
(C) Rs.756
(D) Rs.758
- The price of mango is Rs.20 per kg and is increased to Rs.23 per kg. What is the increased price in %?
(A) 10%
(B) 12%
(C) 15%
(D) 18%
- By selling an article for Rs.180 there is a loss of 10%. At what price the article should be sold in order to gain 10%?
(A) Rs.210
(B) Rs.215
(C) Rs.220
(D) Rs.225
- Mahua scored 81 marks in Mathematics in the annual examination, scoring 10% less than Sutapa. How much marks did Sutapa get?
(A) 85
(B) 87
(C) 88
(D) 90
- If the average of 15, 18, X, 14, 21, 26, 8 is 16, then what is the value of X?
(A) 9
(B) 10
(C) 11
(D) 12
- On selling a cloth for Rs.80 there is a profit of 25%. What is the cost price of the cloth?
(A) Rs.60
(B) Rs.62
(C) Rs.64
(D) Rs.66
- The product of two numbers is 15552 and their H.C.F. is 36. Find out the L.C.M. of two numbers.
(A) 428
(B) 429
(C) 432
(D) 434
- A train 360 m long passes an electric pole in 18 seconds. Find the speed of the train?
(A) 65 km/hr
(B) 68 km/hr
(C) 70 km/hr
(D) 72 km/hr
- Price of tea has increased by 30%. At present 1 kg of tea costs Rs.78. What was the price of 1 kg tea before?
(A) Rs.50
(B) Rs.55
(C) Rs.60
(D) Rs.65
- If A : B = 3 : 4 and B : C = 6 : 5, then A : C is
(A) 10 : 9
(B) 9 : 10
(C) 8 : 9
(D) 9 : 8
Clerkship Question Paper – 2009 (S2)
- The ratio of tin and zinc in an alloy is 3 : 4, what is the amount of tin in 10.5 grams of the alloy?
(A) 4 gram
(B) 5 gram
(C) 4.5 gram
(D) 5.5 gram
- A certain number of soldiers are arranged in a square keeping the maximum number in the front row. If the number of soldiers is 916, how many soldiers are there in the front row?
(A) 29 people
(B) 30 people
(C) 31 people
(D) 32 people
- The sum of two numbers is twice of their difference. What is the ratio of two numbers?
(A) 2 : 4
(B) 4 : 2
(C) 3 : 1
(D) 1 : 3
- What is the amount of money that comes to 133 after deducting 5%?
(A) Rs.135
(B) Rs.137
(C) Rs.138
(D) Rs.140
- What amount of mineral ore is required for 8.7 kg of copper in an ore containing 2% copper?
(A) 430 kg
(B) 435 kg
(C) 440 kg
(D) 445 kg
- A number when decreased by 10% becomes 54, how much percent should be increased to get 72?
(A) 15%
(B) 18%
(C) 20%
(D) 22%
- Price of 2 kg potatoes is Rs. 6 and price of 4 kg onions is Rs. 15. What is the ratio of the market price of potato and onion?
(A) 5 : 4
(B) 3 : 2
(C) 4 : 5
(D) 2 : 3
- Which smallest number when divided by 12, 15, 18 and 24 leaves a remainder 5 in each case?
(A) 335
(B) 360
(C) 365
(D) 370
- 2/7 of a number is 152. What is the number?
(A) 530
(B) 532
(C) 534
(D) 536
- By selling an article for Rs.467.50, B makes a profit of Rs.28.50. What is the profit%?
(A) 6.5%
(B) 6.25%
(C) 6%
(D) 6.75%
- An article is sold for a profit of 18%, if the amount of profit is Rs.14, what is the selling price of the article?
(A) Rs.90
(B) Rs.91(7/9)
(C) Rs.92
(D) Rs.91
- Ram and Shyam complete a work in 15 days and 20 days respectively. Working together they completed the work then what is the ratio of their earnings?
(A) 1 : 1
(B) 3 : 5
(C) 3 : 4
(D) 4 : 3
- In an exam Renu gets 480 marks out of 750 marks. How much percentage of marks did Renu get?
(A) 60%
(B) 62%
(C) 64%
(D) 66%
- If 25% of P = 20% of Q, then at what % is P = Q?
(A) 75%
(B) 80%
(C) 85%
(D) 70%
- When an article is sold for Rs.720 there is a loss of 10%. What is the cost price of the article?
(A) Rs.780
(B) Rs.800
(C) Rs.820
(D) Rs.840
- In how much time the sum of Rs.4500 delivers an interest of Rs.675 at the rate of 6% per annum ?
(A) 2 years
(B) 2(1/3) years
(C) 2(½) years
(D) 2(¼) years
- Some amount of money is divided in the ratio of 5:8. If the first part of the money is Rs.250, then the total amount of money will be?
(A) Rs.650
(B) Rs.660
(C) Rs.670
(D) Rs.680
- The price of a radio set has been increased twice by 10% on the cost of production. What is increase in price of the radio in percentage?
(A) 20%
(B) 20.5%
(C) 21%
(D) 21.5%
- If 15 men can do a piece of work in 4 days, then 7 men can do the same work in
(A) 30 days
(B) 29 days
(C) 31 days
(D) 28 days
- If the cost price of 5 lemons is equal to the selling price of 4 lemons, the gain percent is:
(A) 15%
(B) 20%
(C) 25%
(D) 30%
Clerkship Question Paper – 2007
- The greatest number of 5 digits which is perfect square is :
(A) 10001
(B) 99685
(C) 99865
(D) 99856
- The amount from Rs.360 for 1 year 4 months at 2% per annum is :
(A) Rs.362.50
(B) Rs.365
(C) Rs.368
(D) Rs.369.60
- A sum of money triples itself the rate of interest being 5% per annum. The time is :
(A) 10 years
(B) 20 years
(C) 30 years
(D) 40 years
- The smallest number by which 2187 is to be divided so that the quotient may be a perfect square is :
(A) 3
(B) 5
(C) 7
(D) 9
- The interest on a sum of money for 5 years at 6% is Rs.75. The sum is :
(A) Rs.200
(B) Rs.225
(C) Rs.250
(D) Rs.275
- A gardener plants an orchard with 5776 trees and arranges them so that the number of rows equals the number of trees in each row. The number of rows are
(A) 74
(B) 75
(C) 76
(D) 77
- The least number which should be added to 10000 so that the sum is exactly divisible by 237 is :
(A) 10191
(B) 19011
(C) 10911
(D) 19110
- Interest on a sum of money for 3 years 4 months is ²⁄₁₅ of the principal. Rate percent per annum is :
(A) Rs.3
(B) Rs.4
(C) Rs.4.50
(D) Rs.5
- The fraction by which ³⁵⁄₄₂ should be multiplied so that the square root of the product is —
(A) 1(⅕)
(B) ³⁵⁄₄₂
(C) ²⁴⁄₅₃
(D) ⁸⁄₇
- The least number which on adding 10 is exactly divisible by 48, 72, 84 is :
(A) 1008
(B) 1018
(C) 998
(D) 990
- Standing on the side of a railway track a man finds that a train of length 280 m crosses him in 14 seconds. The speed of the train is :
(A) 55 km/hr
(B) 66 km/hr
(C) 72 km/hr
(D) 80 km/hr
- The H.C.F. and L.C.M. of two numbers are 9 and 270 respectively. If one of the number is 54, the other number is :
(A) 40
(B) 45
(C) 50
(D) 55
- Simplify:

(A) 0
(B) -1
(C) 1
(D) 2
- 5 cultivators can weed out 8 bighas of land in 4 days. 25 cultivators take to weed out 70 bighas of land :
(A) 5 days
(B) 6 days
(C) 7 days
(D) 8 days
- The H.C.F. of two numbers is P and their L.C.M. is Q. If one of the numbers be R, then the other number is :
(A) PQ/R
(B) PQ/Q
(C) Q/QP
(D) 1
- A cloth of length 24(½) metre is cut into pieces, each of length being 1(⅙) metre. How many such pieces can be cut ?
(A) 18
(B) 19
(C) 20
(D) 21
- Ram, Shyam and Jadu individually can plough a garden in 18, 21 and 24 hours respectively. If they work together, to finish the work they will take :
(A) 6(⁶⁶⁄₇₃) hrs
(B) 5(³⁶⁄₅₃) hrs
(C) 7(¹⁷⁄₄₉) hrs
(D) 4(⁹⁄₂₃) hrs
- An article is bought for Rs.750 and is sold at a gain of 20%. How much more will be gained, if the article is sold at a gain of 30% ?
(A) Rs.75
(B) Rs.70
(C) Rs.65
(D) Rs.60
- The square of the sum of two numbers is 625, and the square of their difference is 81. The numbers are :
(A) 17, 8
(B) 16, 9
(C) 18, 7
(D) 20, 5
- A man travels 516 m in 6 mins. His speed per hour is :
(A) 0.0516 km
(B) 0.516 km
(C) 5.16 km
(D) 51.6 km
- By how much does the sum of 17.443 and 29.657 exceed the sum of 13.687and 18.548?
(A) 14.285
(B) 14.658
(C) 14.865
(D) 14.586
- 12 cakes of soap weight 5 kg and 604 gm. Find the weight of 5 cakes in kg.
(A) 233.5
(B) 23.35
(C) 2.335
(D) 2.533
- A can finish a work in 12 days and B does it in 10 days. A alone works for 8 days and then B joins him to finish the work together. The work will be finished in :
(A) 5(⁵⁄₁₁) days
(B) 2(⁹⁄₁₁) days
(C) 9(⁹⁄₁₁) days
(D) 3(⁶⁄₁₁) days
- If 15 is added to 5 times a number the sum is 6 times the number. The number is :
(A) 15
(B) 16
(C) 17
(D) 18
- A man earns Rs.3600 per month. His income is increased in the ratio 12:13. His new monthly income is :
(A) Rs.3500
(B) Rs.3700
(C) Rs.3900
(D) Rs.4100
- Find the difference between ¹³⁄₁₅ of Rs.675 and ⁹⁄₁₆ of Rs.656.
(A) Rs.204
(B) Rs.208
(C) Rs.212
(D) Rs.216
- 6 cows can plough 12 hectares of land in 25 days. Number of hectares of land that will be ploughed by 10 cows in 20 days.
(A) 12 hectares
(B) 14 hectares
(C) 16 hectares
(D) 20 hectares
- A fruit vendor sold 32 baskets of mango at Rs.55 per basket, 41 baskets at Rs.35 per basket and 15 baskets at Rs.46 per basket. The average price of mango per basket is :
(A) Rs.44.15
(B) Rs.44
(C) Rs.44.25
(D) Rs.45
- The ratio between the length and width of a rectangular sheet of paper is 7 : 5. If the width of the sheet is 20.5 cm, the length is :
(A) 28.7 cm
(B) 27.5 cm
(C) 27.8 cm
(D) 28.9 cm
- 10 pumps can rise 75 tons of water in 10 hrs. Time taken by 5 pumps to raise 100 tons of water is :
(A) 7 hrs
(B) 8 hrs
(C) 8(⁸⁄₉) hrs
(D) 9 hrs
- 30 children at a camp have provisions for 18 days. They are joined by 6 more children. How long will the provision last ?
(A) 10 days
(B) 12 days
(C) 15 days
(D) 17 days
- Value of √2
(A) 1.441
(B) 1.414
(C) 1.144
(D) 1.5
- If 125 men can do a piece of work in 120 days, then in 100 days the work can be done by ;
(A) 110 men
(B) 120 men
(C) 135 men
(D) 150 men
- A alone can knit a sweater in 3 hours and B alone can knit it in 4 hours. How much time they would take working together to knit 14 sweaters ?
(A) 14 hours
(B) 18 hours
(C) 21 hours
(D) 24 hours
- Value of 5.3˙ + 3.2˙5˙ + 12.1˙
(A) 20.0˙69˙
(B) 20.06˙9˙
(C) 20.69˙
(D) 20.6˙9˙
- Number of tiles each 2(⅓) dm by 1 dm, required to cover the floor of a room 20 m by 14 m is
(A) 120
(B) 1200
(C) 12000
(D) 120000
- The price of diesel increases from Rs.12 per litre to Rs.16 per litre. Find the percentage increase in the price :
(A) 33%
(B) 33(½)%
(C) 33(⅓)%
(D) 33(⅕)%
- If 2 dozen apples weight 3 kg 600 gm, how many apples are there in 3 boxes weighting 26 kg 250 gm each ?
(A) 500
(B) 510
(C) 515
(D) 525
- The perimeter of a square field having twice the area of a rectangular field 9 m by 8 m is ;
(A) 24 m
(B) 48 m
(C) 64 m
(D) 72 m
- The average daily rainfall during the month of February in the year 1808 in a city was 4.7 mm. What is the total rainfall during the month of February?
(A) 13.63 cm
(B) 13.00 cm
(C) 13.05 cm
(D) 13.25 cm
- A boy goes 6 km straight to the east and from there goes 8 km straight to the north. What is his displacement ?
(A) 14 km
(B) 8 km
(C) 10 km
(D) 2 km
- The total capacity of a tank is 200 litres. At present it is 60% full with water. Some water is taken from tank and it is found that the tank is now 35% full. The quantity of water taken is :
(A) 30 litres
(B) 40 litres
(C) 45 litres
(D) 50 litres
- The area of the path one metre wide surrounding a playground 60 metres long and 40 metres broad is :
(A) 264 sq. m
(B) 240 sq. m
(C) 204 sq. m
(D) 206 sq. m
- Value of 4(½)% of 12 m is :
(A) 50 cm
(B) 52 cm
(C) 54 cm
(D) 56 cm
- Grains are bought at 4 kg for Rs.28 and sold at Rs.3 kg for Rs.27. The gain or loss made by selling 80 kg grains is :
(A) Gain Rs.100
(B) Gain Rs.160
(C) Loss Rs.50
(D) Loss Rs.80
- An ore contains 2% of copper. How much quantity of the ore is required to get 8.7 kg of copper ?
(A) 400 kg
(B) 410 kg
(C) 425 kg
(D) 435 kg
- Number of stones each 1(¼) meters sq., will cover a roof 40 metres sq. Is :
(A) 1004
(B) 1040
(C) 1440
(D) 1024
- By selling a tape recorder for Rs.600 a loss of Rs.100 is suffered. If the tape recorded be sold in order to gain 16% the price is :
(A) Rs.800
(B) Rs.806
(C) Rs.812
(D) Rs.818
- The letters of which of the following series does not show lateral inversion in front of a mirror?
(A) APC
(B) PSR
(C) OMU
(D) BDO
- Interest on Rs.250 for 2 years 6 months at 6 paise per rupee per month is :
(A) Rs.450
(B) Rs.425
(C) Rs.400
(D) Rs.375
- Find the number which when decreased by 8% becomes 506.
(A) 510
(B) 520
(C) 540
(D) 550
- Interest on Rs.600 for 5 years amounted to Rs.60. The rate of interest is :
(A) 1.5%
(B) 2%
(C) 2.5%
(D) 3%
Clerkship Question Paper – 2006
- There is a rebate of 15%, if electric bills are paid in time. A man got a rebate of Rs.54 by paying the bill in time. What was his electric bill in rupees?
(A) 300
(B) 350
(C) 360
(D) 380
- A train travels at a speed of 30 km. per hour for 12 minutes and then for the next 8 minutes at a speed of 45 km. per hour. What is the average speed for the journey?
(A) 40 km./hr.
(B) 36 km./hr.
(C) 43 km./hr.
(D) 46 km./hr.
- Of six consecutive numbers the sum of first three is 27. What is the sum of next three?
(A) 30
(B) 40
(C) 36
(D) 45
- Find the value of (9+3)÷3×2-(7-3×2)
(A) 1
(B) 7
(C) 4
(D) 0
- (a) Interest for Rs.100 for 3 years is Rs.96
(b) Interest for Rs.300 for 5 years is Rs.165
Compare the rate of interest from the above two cases.
(A) 32 : 11
(B) 30 : 13
(C) 28 : 15
(D) 16 : 6
- A man first sold ⅔ rd of his total quantity of rice and 100 kg. Again he sold ½ of the remaining quantity and 100 kg. If the total remaining quantity of the stock is 150 kg then what was the original stock of rice?
(A) 2100 kg
(B) 1800 kg
(C) 2400 kg
(D) 2000 kg
- 5 labourers can make 5 mats in 5 hours. How many mats will 10 labourers make in 10 hours?
(A) 10
(B) 20
(C) 30
(D) 35
- The product of two positive numbers is 24. The greater is 1(½) times the smaller. What are the numbers?
(A) 6, 4
(B) 3, 8
(C) 2, 12
(D) 3, 7
- In a box the numbers of rupees, half rupees and quarter rupees are in the ratio 3 : 4 : 5 and the total value of the coins is Rs.100. Find the number of each kind of coins respectively.
(A) 48, 64, 80
(B) 48, 60, 70
(C) 55, 78, 90
(D) 44, 68, 80
- The number of ways of expressing 175 as the product of two whole numbers is
(A) 2
(B) 3
(C) 4
(D) 5
- The ratio of the volumes of water and glycerine is 240 cc. glycerine mixed with water is 1 : 3. What additional volume of water should be mixed with it so that the ratio of the volumes of water and glycerine becomes 2 : 3?
(A) 70 cc
(B) 80 cc
(C) 60 cc
(D) 50 cc
- In a series of equally increasing number the 1st one is 51 and the 7th one is 81. Find the intermediate numbers.
(A) 56, 61, 66, 71, 76
(B) 58, 63, 68, 73, 78
(C) 54, 59, 63, 67, 71
(D) 59, 65, 69, 75, 77
- Average of two numbers is 8 and that of other three numbers is 3. What is the average of those 5 numbers?
(A) 4
(B) 5
(C) 10
(D) 3
- A & B can do a piece of work in 12 days. B & C in 15 days and C & A in 20 days. In how many days A, B & C together can do the work?
(A) 8 days
(B) 12 days
(C) 10 days
(D) 14 days
- By what smallest number 6300 is to be multiplied to make a perfect cube?
(A) 1525
(B) 1470
(C) 1600
(D) 2500
- Sum of the two numbers is equal to the sum of their reciprocal. What will be the product of the numbers?
(A) 5
(B) 6
(C) 1
(D) ½
- A train travels from Dehradun to Delhi at a speed of 40 km/hr and returns at 60 km/hr. Find the average speed of the entire journey.
(A) 50 km/hr
(B) 45 km/hr
(C) 48 km/hr
(D) 52 km/hr
- A mixture of 72 litres contain syrup and water in the ratio 7 : 2. How much water must be added to it so that the ratio syrup and water may be 4 : 3?
(A) 20 litres
(B) 24 litres
(C) 26 litres
(D) 30 litres
- By what percent must the cost price be raised in fixing the sale price in order that there may be profit of 20% after allowing a commission of 10%?
(A) 30%
(B) 33(⅓)%
(C) 25%
(D) 40%
- In what time Rs.1250 amounts to Rs.1875 at the rate of 6(¼) p.c. interest per annum?
(A) 8 years
(B) 10 years
(C) 6 years
(D) 5 years
- The ratio of boys and girls of a school with 504 students is 13 : 11. What will be the new ratio if 12 more girls are admitted?
(A) 91 : 81
(B) 93 : 83
(C) 54 : 68
(D) 7 : 9
- Find the greatest number that can divide 309, 814, 2219 leaving remainders 3, 4 & 5 respectively.
(A) 18
(B) 54
(C) 2214
(D) 507
- The ratio of the ages of two persons is 4 : 7 and the age of one of them is more than the other by 30 years. What is the sum of their ages?
(A) 100
(B) 110
(C) 120
(D) 130
- The sum of two numbers is 128 and the difference is 32. Find the numbers.
(A) 80, 48
(B) 78, 50
(C) 74, 54
(D) 70, 58
- Ramesh gets 10% more than Mohan. How much per cent Mohan gets less than Ramesh?
(A) 10%
(B) 9%
(C) 9(¹⁄₁₁)%
(D) 11%
- The ratio of two numbers is 3 : 4. Their HCF = 4. What is their LCM?
(A) 50
(B) 56
(C) 48
(D) 60
- A box when full of sands weighs 8.5 kg and it weighs 5.5 kg when it is half filled with sand. What is the weight of the empty box?
(A) 3 kg
(B) 1.5 kg
(C) 4 kg
(D) 2.5 kg
- The greatest number of the following is
(A) ⁴⁄₉
(B) √(⁹⁄₄₉)
(C) (0.8)2
(D) .2˙7˙
- A number is increased by 20% then again by 20%. By what percent the original number is changed?
(A) 40%
(B) 50%
(C) 44%
(D) 36%
- The price of 5 sheep = that of 8 goats, price of 30 goats = that of 3 cows. How many cows can be had in exchange of 50 sheep?
(A) 6
(B) 8
(C) 10
(D) 12
- In an examination 62% of the examinees got plucked in Mathematics, 52% passed in English and 22% failed in both the subjects. If 108 is the number of examinees who passed in both the subjects then find out the total number of candidates.
(A) 1200
(B) 900
(C) 800
(D) 1000
- 10% of m = 20% of n and 100% of m = x% of n. Find the value of x.
(A) 33(⅓)
(B) 40
(C) 166(⅔)
(D) 200
- A lends Rs.400 at 6(¼)% simple interest. How much should B lend at 5% so that at the end of each year both will get the same interest?
(A) 400
(B) 500
(C) 800
(D) 1000
- The ratio of the speeds of two trains is 7:8. If the second train runs 400 km. in 5 hrs., find the speed of the first train.
(A) 60 km/hr
(B) 55 km/hr
(C) 70 km/hr
(D) 75 km/hr
- A fraction having denominator 12 and lying between ½ and ⅓ is
(A) ³⁄₁₂
(B) ⁵⁄₁₂
(C) ⁷⁄₁₂
(D) ⁹⁄₁₂
- If the sum of the digits of any number between 100 and 1000 be subtracted from the number, the result is divisible by
(A) 5
(B) 6
(C) 7
(D) 9
- Rs.500 is divided among 50 boys and girls so that each boy gets Rs.8 and each girl gets Rs.12. Find the number of boys.
(A) 24
(B) 25
(C) 27
(D) 29
- If a number is divided by 52 the remainder is 45. What will be the remainder if it be divided by 13?
(A) 4
(B) 5
(C) 6
(D) 7
- The ratio of the amounts of A and B is 4:3 and the sum of their amount is Rs.700. What amount in rupees should A give B to make the ratio 1:1?
(A) 100
(B) 200
(C) 150
(D) 50
- If each side of a square be increased by 10%, what is the percentage increase of the area?
(A) 21%
(B) 10%
(C) 20%
(D) 100%
- A shopkeeper purchased two cycles at Rs.1600 and sold the first at 10% profit and second one at 20% profit. If he could sell the first cycle at a profit of 20% and the second one at a profit of 10% then he could get Rs.5 more. What will be the cost price of each in rupees?
(A) 925, 675
(B) 1000, 600
(C) 825, 775
(D) 900, 700
- Find the value of :

(A) ⅖
(B) ⅔
(C) 1
(D) 0
- What quantity the use of coal to be reduced to keep one’s family budget same when the price of coal is increased by 25%?
(A) 25%
(B) 20%
(C) 30%
(D) 15%
- If 80 persons can finish a work within 16 days by working 6 hours a day the how many hours per day should 64 persons work to complete that very job within 15 days?
(A) 7 hrs.
(B) 8 hrs.
(C) 6 hrs.
(D) 5 hrs.
- 0.1% of Rs.5000 is Rs.
(A) 50
(B) 500
(C) 5
(D) 10
- Write down the percentage equivalent to the fraction ¾.
(A) 75%
(B) 25%
(C) 60%
(D) 80%
- A father is older than his first son by 30 years, the first son by 30 years, the first son is older than the second son by 10 years. If the sum of their ages be 95 years, find the age of father.
(A) 65 years
(B) 55 years
(C) 45 years
(D) 50 years
- Find the greatest number of 5 digits which is divisible by 7, 11, 13.
(A) 99900
(B) 99099
(C) 99909
(D) 99990
- A sold a watch to B at a loss of 10% B sold it to C at a gain of 10%. If A had sold at the same price which C paid for it, what would have been his gain/loss %?
(A) 1% loss
(B) 10% gain
(C) 12% gain
(D) 11% loss
- The present age of father is 34 years more than that of his son. Twelve years ago father’s age was 18 times the age of his son. What is the present age of the son in years?
(A) 16
(B) 14
(C) 12
(D) 18
Clerkship Question Paper – 2005
- When a number is divided by 65 it keeps a remainder 48. When it is divided by 13 the remainder will be
(A) 0
(B) 4
(C) 9
(D) 2
- The difference between 777 and the nearest perfect square above it is
(A) -7
(B) 70
(C) 12
(D) 7
- A sum of money doubles itself in 10 years. Rate of simple interest is
(A) 5%
(B) 8%
(C) 20%
(D) 10%
- The square root of 0.000001 is
(A) 0.001
(B) 0.0000001
(C) 0.0001
(D) 0.01
- 60 labourers can dig a pond in 20 days. After 5 days of work 30 labourers left. The remaining work will be done in
(A) 34 days
(B) 30 days
(C) 28 days
(D) 20 days
- The ratio of cost price and selling price is 10 : 11. The percentage of profit is
(A) 10(⅑)%
(B) 11(⅑)%
(C) 11%
(D) 10%
- If 92*92 is divisible by 9, the missing * digit will be
(A) 0
(B) 6
(C) 5
(D) 4
- Greatest among the four numbers 0.55, (.5)2, 0.46, √.4
(A) √.4
(B) 0.46
(C) (.5)2
(D) 0.55
- A man invests Rs.6000 for 3 years and Rs.5000 for 5 years at the same rate of interest. He gets Rs.350 more in the later case. The interest rate is
(A) 6%
(B) 3.5%
(C) 5%
(D) 7%
- The amount of rice produced in a square field of side 40 m is 2000 kg. The amount of rice produced in a similar square field of side 50 m will be
(A) 2506 kg
(B) 4150 kg
(C) 4326 kg
(D) 3125 kg
- In a bag there are 50 paise and 25 paise coins. Total number of coins is 60 and total value Rs.25. Then the number of 50 paise coins is
(A) 25
(B) 40
(C) 45
(D) 42
- The total number of three digit numbers of which the digits in the first and third places are the same is
(A) 9
(B) 90
(C) 102
(D) 99
- Sum of two numbers is 16(⅓) and their difference is 3(⅔). Their product is
(A) 51
(B) 63(⅓)
(C) 62
(D) 58(⅔)
- Value of 0.9˙ = ?
(A) .1
(B) 0.101
(C) 1.01
(D) 1
- The average of 19 numbers is 8. If the average of the first 9 numbers is 6.5 and the average of the last 9 numbers is 8.5, then the middle number is
(A) 16
(B) 20
(C) 17
(D) 18
- Average of 50 numbers is 60 and that of other 60 numbers is 50. The average of all numbers is
(A) 57
(B) 56
(C) 54(⁶⁄₁₁)
(D) 55(¹⁄₁₁)
- A can do a piece of work in 20 days and B in 30 days. With the help of C they finish it in 10 days. If they receive Rs.600 for the work. C will get
(A) Rs.20
(B) Rs.56
(C) Rs.25
(D) Rs.100
- 320 sweets are to be distributed among 60 boys and girls so that each boy gets 6 sweets and each girl 5 sweets. The number of boys is
(A) 20
(B) 35
(C) 30
(D) 25
- (-3)3 × (-⅓)³ × (.3)3
(A) 0.072
(B) 0.2702
(C) 0.027
(D) 2.7
- Average height of 40 students is 63″. When a batch of 22 students left, the average height of remaining students was increased by 1″. The average height of the batch of 22 students who left is
(A) 6″
(B) 6(²⁄₁₁)”
(C) 7(³⁄₁₁)”
(D) 8(²⁄₁₁)”
- The least possible integer to be subtracted from 9999 to make it a perfect square is
(A) 199
(B) 243
(C) 198
(D) 192
- Three numbers are in the ratio 3:4:5 and their L.C.M. is 240. Then their G.C.M. is
(A) 6
(B) 4
(C) 8
(D) 9
- A group of students can be arranged in 15, 20 or 25 equal lines and also as a perfect square. The minimum number of students is
(A) 250
(B) 600
(C) 900
(D) 500
- Two numbers are in the ratio 5:7. Their L.C.M. is 105. The greater number is
(A) 21
(B) 22
(C) 20
(D) 24
- A’s salary is 20% higher than B’s salary. How much per cent less is B’s salary with respect to A’s salary?
(A) 16(⅔)%
(B) 20(¹⁄₁₃)%
(C) 23(⅓)%
(D) 24%
- Income tax is charged at the rate of 10% on the part of the income exceeding Rs.1,00,000. If a man’s annual income is Rs.2,65,020, the amount of income tax to be paid is
(A) Rs.64921
(B) Rs.16189
(C) Rs.16502
(D) Rs.16084
- A tap can fill an empty reservoir in 20 minutes, another tap can empty it in 15 minutes. When the reservoir is already half full of water both the taps are opened together. The reservoir will be emptied in
(A) 35 min.
(B) 25 min.
(C) 30 min.
(D) 50 min.
- The number of square tiles required to pave a rectangular courtyard of length 50 m and breadth 32 m when the tile is of length 25 cm is
(A) 10000 tiles
(B) 5100 tiles
(C) 25600 tiles
(D) 2006 tiles
- Two numbers have H.C.F. 24 and L.C.M. 540. If one number is 60, the other number is
(A) 102
(B) 90
(C) 108
(D) 54
- Length and breadth of a rectangle is tripled. Percentage increase in area is
(A) 450%
(B) 420%
(C) 200%
(D) 800%
- If a number is multiplied by 18 it is increased by the square of the number. The number is
(A) 19
(B) 18
(C) 17
(D) 11
- The salary of a man is first reduced by 30% and then it is increased by 30%. The man loses by
(A) 12%
(B) 0%
(C) 9%
(D) 18%
- Find the sum of uneven number from 1 to 199.
(A) 100
(B) 900
(C) 1800
(D) 10000
- The wheel of an engine turns 700 times round its axle to cover a distance of 3520 km. The radius of the wheel is
(A) 190 cm
(B) 180 cm
(C) 80 cm
(D) 250 cm
- In an examination 58% failed in English, 36% failed in Arithmetic. 24% failed in both the subjects. The percentage of students who passed in both the subjects is
(A) 22%
(B) 30%
(C) 60%
(D) 24%
- The value of

(A) 85(⁷⁄₁₅)
(B) 85(¹⁄₁₁)
(C) 85(⁷⁄₁₁)
(D) 90(⁷⁄₁₁)
- The sum of all prime numbers between 1 and 20 is
(A) 77
(B) 76
(C) 75
(D) 80
- The product of two consecutive odd integers is 899. The integers are
(A) 30, 28
(B) 30, 34
(C) 20, 24
(D) 29, 31
- L.C.M. of 0.7, 0.07, 0.007 is
(A) .000709
(B) 0.7
(C) 0.07
(D) 0.007
- Area of a rectangular park of breadth 40 m is 2500 sq.m. The cost of fencing the park at the rate of Rs.6 per m is (in Rupees)
(A) 3000
(B) 1230
(C) 540
(D) 300
- The value of

(A) 1
(B) 0
(C) x
(D) 1-x
- A wall clock takes 6 seconds to beat 6 to beat 9 it will take
(A) 9 seconds
(B) 9(⅗) seconds
(C) 6 seconds
(D) 9(⅕) seconds
- 12.1˙06˙ when expressed as a simple fraction is
(A) ¹²⁰⁰⁴⁄₉₉₉
(B) ¹²⁰⁹⁴⁄₉₉₉
(C) ¹⁰⁰⁰⁴⁄₉₉₉
(D) ¹⁰⁰¹²⁄₉₉₉
- In a particular type of soldering material the ratio of lead to tin is 4:7. How much lead should be added to 24.4 kg of this material to make to ratio 1:1?
(A) 2.2 kg
(B) 6.6 kg
(C) 1.9 kg
(D) 2.5 kg
- The smallest number to be added to 4.65 so that the sum may be a perfect square is
(A) 0.19
(B) 1.75
(C) 0.32
(D) 1.9
- A alone can do a piece of work in 10 days and B alone in 15 days. They begin to work together. They will finish half of work in
(A) 6 days
(B) 8 days
(C) 3 days
(D) 12 days
- A train crosses a telegraph post in 12 sec and a bridge of length 440 metre in 32 sec. The velocity of the train is
(A) 40 m/sec
(B) 22 m/sec
(C) 23 m/sec
(D) 26 m/sec
- In a cricket match A and b together score 212 runs, B and C together score 184 runs and A and C together score 104 runs. Then C scores
(A) 26 runs
(B) 38 runs
(C) 35 runs
(D) 25 runs
- The price of coal is increased by 25%. What should be the percentage reduction in consumption of coal for a family to keep the expenditure for coal the same ?
(A) 20%
(B) 24%
(C) 26(⅔)%
(D) 22(½)%
- A rectangular garden is 100 m × 80 m. There is a path all along the garden and just outside it. The width of the path is 5 m. The area of the path is
(A) 1900 sq.m
(B) 1400 sq.m
(C) 2660 sq.m
(D) 3000 sq.m
Clerkship Question Paper – 2004
- A factory produces 14,600 bulbs in 365 days. How many bulbs will be produced in the factory in 140 days?
(A) 2600
(B) 5600
(C) 6500
(D) 5000
- A alone can do a piece of work in 15 days and B alone in 30 days. They begin to do the work together. Then they will finish half of work in
(A) 10 days
(B) 8 days
(C) 6 days
(D) 5 days
- A trader marks 25% above the cost price of an article but allows his customers the discount of 20% on the marked price. Then he has
(A) 5% gain
(B) 4% gain
(C) 2% loss
(D) no gain no loss
- (0.2)2, ¹⁄₁₀₀ , (0.01)½ , (0.008)⅓ — Of these which one is the greatest?
(A) (0.2)2
(B) ¹⁄₁₀₀
(C) (0.01)½
(D) (0.008)⅓
- In a particular type of soldering material the ratio of lead to tin is 5:4. How much lead should be added to 4.5 kg of this material to make to ratio 1:1?
(A) 2 kg
(B) ½ kg
(C) 1 kg
(D) ⅓ kg
- Fill up the missing term in 12 : 16 = ? : 20
(A) 13
(B) 15
(C) 14
(D) 11
- The monthly salary including D.A. of a worker is Rs.24,800. If D.A. is 55% of the basic pay, the D.A. is
(A) Rs.8400
(B) Rs.8600
(C) Rs.8000
(D) Rs.8800
- The average of 20 numbers is 30, and that of other 30 numbers is 20. The average of all the numbers is
(A) 20
(B) 24
(C) 25
(D) 30
- What is the minimum number of four digits formed by 2, 4, 0, 7?
(A) 2407
(B) 2470
(C) 0247
(D) 2047
- Three numbers are in the ratio 2 : 3 : 6, and their L.C.M. is 72. Then their G.C.M. is
(A) 12
(B) 18
(C) 24
(D) 36
- If ⅔A = 75% of B, then A:B is
(A) 10 : 11
(B) 8 : 9
(C) 9 : 8
(D) 1 : 1
- A man standing on a railway platform notices that a train of 80 metres long passes him in 8 seconds. The speed of the train is
(A) 30 km/hr
(B) 36 km/hr
(C) 40 km/hr
(D) 45 km/hr
- In two blends of mixed tea the ratios of Darjeeling and Assam tea are 2:7 and 1:5 respectively. In what ratio should these two blends of tea be mixed so that the ratio of Darjeeling and Assam tea in the new blend is 1:4?
(A) 1 : 5
(B) 2 : 3
(C) 3 : 2
(D) 5 : 1
- In two types of powdered detergent the ratio of soda and soap–dust in the new detergent mixture.
(A) 10 : 1
(B) 1 : 10
(C) 9 : 1
(D) 1 : 9
- How many workers are to be employed for the production of 125 machine parts per day if the ratio of the number of parts to the number of workers per day is 5:2?
(A) 40
(B) 60
(C) 50
(D) 70
- Find

(A) 697
(B) 579
(C) 590
(D) 597
- The speed of electric train is 25% more than that of steam engine train. What is the time taken by an electric train to cover a distance which a steam engine train takes 4 hours 25 minutes to cover?
(A) 3¹¹⁄₁₂
(B) 3⁸⁄₁₅
(C) 3¹¹⁄₁₅
(D) 3¹⁄₁₀
- The product of two consecutive even numbers is 528. Find the numbers.
(A) 44, 42
(B) 52, 54
(C) 34, 32
(D) 22, 24
- If 20% of A = 50% of B what percentage of A is B?
(A) 30
(B) 40
(C) 50
(D) 20
- The ratio of urea and potash in a mixed fertiliser is 7 : 3. Express the quantity of urea present as percentage of the total amount of fertiliser.
(A) 30%
(B) 70%
(C) 60%
(D) 50%
- Rs.700 is divided amongst A, B and C in such a way that the ratio of the amount A and B is 2 : 3 and that of B and C is 4 : 5. How much does A receive ?
(A) Rs.100
(B) Rs.160
(C) Rs.240
(D) Rs.300
- 2 men and 7 boys can do in 4 days a piece of work which would be done in 3 days by 4 men and 4 boys. How long would it take 1 man to do it?
(A) 10 days
(B) 12 days
(C) 14 days
(D) 15 days
- If the difference of the squares of two consecutive odd integers is 200. The smaller of them is
(A) 49
(B) 51
(C) 53
(D) 55
- A panchayat samity spends 40% of its Government grant for health and 25% for education. If the expenses on health be Rs.2,100 then what is the total amount of grant?
(A) Rs.2550
(B) Rs.5250
(C) Rs.5025
(D) Rs.5520
- The G.C.M. of a pair of natural numbers is 10 and their sum is 150. The number of such pairs is
(A) 1
(B) 2
(C) 3
(D) 4
- The sum of the weights of A and B is 80 kg. Half of the weight of A is equal to ⅚ times the weight of B. Find the weight of B.
(A) 50 kg
(B) 40 kg
(C) 30 kg
(D) 20 kg
- The ratio of bus and train fares from Kolkata to a certain place is 2 : 3. If train fare increases by 20% and the bus fare by 10%, what will be the new ratio of bus and train fare?
(A) 10 : 9
(B) 11 : 18
(C) 12 : 7
(D) 11 : 12
- 2+4+6+……….+40 is
(A) 440
(B) 410
(C) 400
(D) 420
- Iron and Carbon are in the ratio of 49:1 in a particular type of steel. How many quintals of carbon are there in 250 quintals of that type of steel?
(A) 4
(B) 5
(C) 6
(D) 9
- If A’s wage with respect to B’s wage is 20% more, then how much per cent is B’s wage less with respect to A’s wage?
(A) 20%
(B) 18%
(C) 17%
(D) 16⅔%
- The least positive integer which must be subtracted from 11100 to make it a perfect square is
(A) 57
(B) 95
(C) 125
(D) 75
- An article is sold for Rs.414 at the profit of 20%. The cost price of the article is
(A) Rs.435
(B) Rs.345
(C) Rs.354
(D) Rs.453
- In a type of German Silver the ratio of Copper, Zinc and Nickel is 4 : 3 : 2. How much Zinc should be added to 54 kg of such German Silver to make the ratio 6 : 5 : 3?
(A) 1 kg
(B) 2 kg
(C) 3 kg
(D) ⅔ kg
- Of 132 examinees of a certain school the ratio of successful to unsuccessful students 9 : 2. If 4 more students passed, what would have been the ratio of successful to unsuccessful students?
(A) 5 : 28
(B) 28 : 5
(C) 4 : 25
(D) 25 : 4
- A quantity of food provides 24 men for 20 days. How long will it last if the number of men is 40?
(A) 10 days
(B) 12 days
(C) 14 days
(D) 16 days
- A tap can fill an empty reservoir in 45 minutes and another tap can empty it in 30 minutes . When the reservoir is already half full of water both the taps are opened together. The reservoir will be empty in
(A) 30 min.
(B) 40 min.
(C) 45 min.
(D) 50 min.
- If the sides of a square be doubled find the increase of percentage in area.
(A) 200%
(B) 50%
(C) 100%
(D) 300%
- Find the value of

(A) ⁵⁄₂₂
(B) ⁴⁄₂₁
(C) ⁸⁄₂₁
(D) ¹³⁄₂₁
- 180 oranges are distributed among 70 boys and girls such that each boys gets 2 and each girl 3 oranges. The number of boys is
(A) 20
(B) 25
(C) 30
(D) 40
- Fourteen years ago a man was six times as old as his son. The sum of their present ages is 70 years. The present age of the man is
(A) 36 years
(B) 40 years
(C) 45 years
(D) 50 years
- A pen is purchased at Rs.20 and it is sold at Rs.24. What will be the percentage of profit?
(A) 24
(B) 25
(C) 26
(D) 20
- Arun is senior to Barun by 6 years. If the sum of their age is 54 years the age of Barun is
(A) 18 years
(B) 20 years
(C) 24 years
(D) 30 years
- In a certain assembly constituency election, 80% of voters exercised their voting right and the winning candidate got elected with 65% of vote polled. What percent of total votes did he poll?
(A) 45
(B) 52
(C) 55
(D) 57
- A and B jointly start a business. A invests Rs.17,000 and B invests Rs.20,000. Four months later A invests a further amount of Rs.4,000. If the profit be Rs.9,520 in one year then A’s profit is
(A) Rs.4700
(B) Rs.4800
(C) Rs.4720
(D) Rs.4750
- In an examination 60% of the examinees passed in English and 70% passed in Mathematics but 20% failed in both. If 2,500 examinees passed in both, total number of examinees are
(A) 4000
(B) 3000
(C) 5000
(D) 3500
- A number when multiplied by 13 is increased by 180. The number is
(A) 25
(B) 15
(C) 12
(D) 5
- The sum and difference of two numbers are 7.75 and 2.25 respectively. Then their product is
(A) 10.75
(B) 12.25
(C) 13.75
(D) 13.25
- Distance between A and B is 14 km. Two persons start from A and B at the same time and walk towards each other at the rates of 4 km/hr and 3 km/hr respectively. If they meet at C then
(A) AC = CB
(B) AC < CB
(C) AC > CB
(D) none of the above
- A, B and C started, a business with Rs.1,500, Rs.1,000 and Rs.1,750 respectively as capital. At the end of the year there was a loss of Rs.425. How much did C lose?
(A) Rs.150
(B) Rs.175
(C) Rs.100
(D) Rs.125
- Jadu and Madhu purchased a car for Rs.25,000 and sold the same for Rs.26,250. If at the time of purchase Jadu paid 1(½) times as much as Madhu, how much did Madhu receive out of profit?
(A) Rs.300
(B) Rs.400
(C) Rs.500
(D) Rs.600
